The Ultimate XAUUSD H1 Trend-Following Strategy
Strategy History and Nature
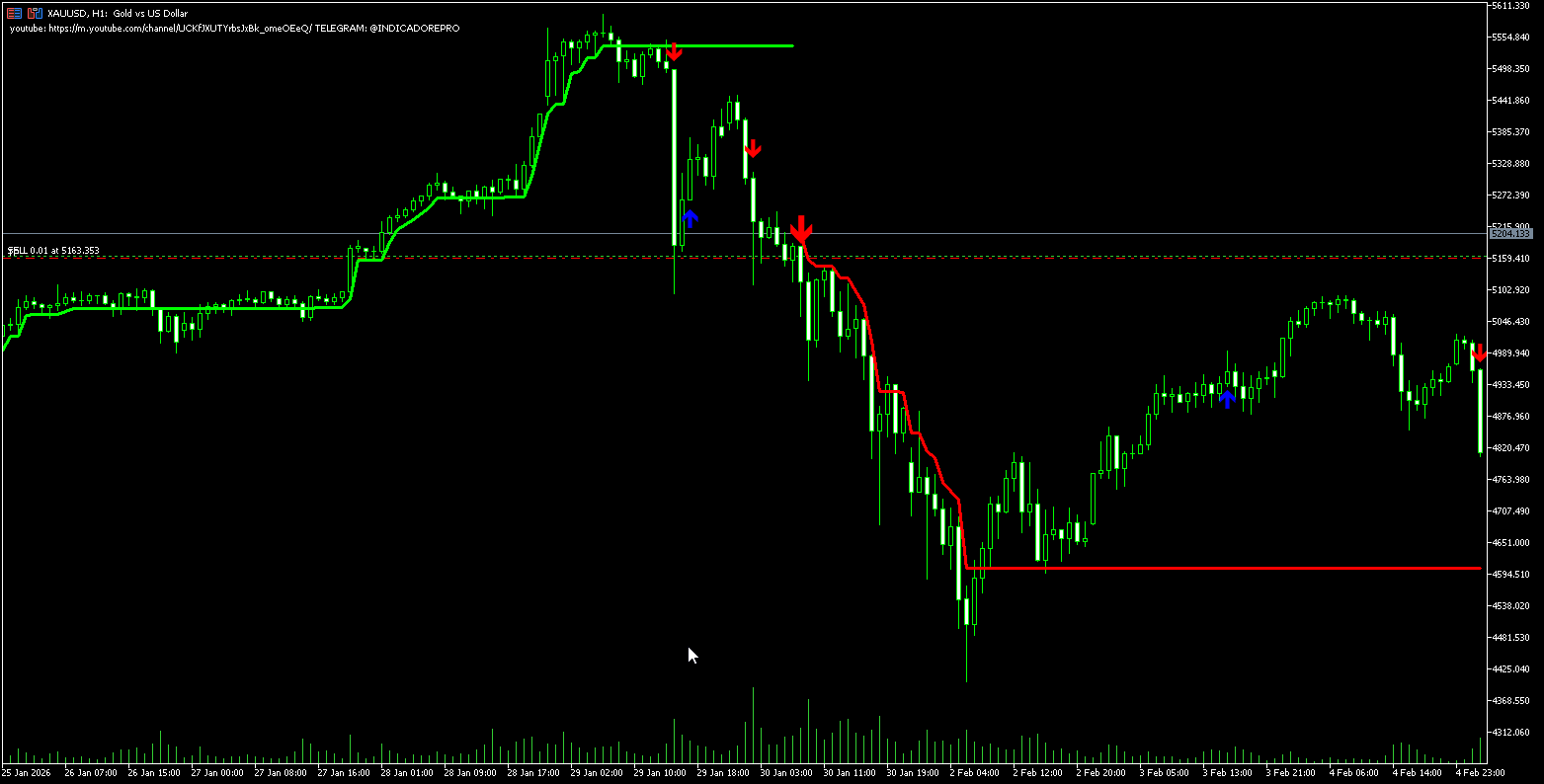
The indicator setup you see in the image is a sophisticated evolution of the Volatility-Adjusted Trailing Stop (often referred to as an ATR-based Supertrend or Trend-Stop). Historically, these systems were designed by floor traders to "let winners run" while cutting losses early.
The nature of this strategy is Trend-Following. It does not try to guess the top or bottom of the market; instead, it waits for a momentum shift (the Red/Green flip) and provides a visual "staircase" to follow. This is particularly effective for XAUUSD (Gold) because Gold is a high-beta asset that tends to trend aggressively once a direction is established.
1. Entry Rules: When to Trade
To achieve high accuracy, follow these specific entry triggers:
-
Buy Scenario: Enter when a Green Arrow appears and the price remains above the Green Trailing Line.
-
Sell Scenario: Enter when a Red Arrow appears and the price remains below the Red Trailing Line.
-
The "Wait" Rule: For the best results on the H1 timeframe, wait for the candle to close. If the arrow is still there after the close, the signal is confirmed.
2. Exit Strategy: TP, SL, and Trailing
-
Stop Loss (SL): Always place your SL at the level of the indicator's step-line. If you are in a Buy, the SL is the Green line. If you are in a Sell, the SL is the Red line.
-
Take Profit (TP): Aim for a 1:2 Risk-to-Reward ratio. For example, if your SL is 50 pips away, set your TP at 100 pips.
-
Trailing Stop: This is the core of the system. As the price moves in your favor, the indicator line will "step" up or down. Manually move your SL to these new levels. This allows you to capture massive 500+ pip moves on Gold without being stopped out by minor retracements.
3. Skip Signal Scenarios
Avoid trading when:
-
The "Flat-Line" Phase: If the indicator line is horizontal for a long period and the price is crisscrossing it, the market is ranging. Skip all signals.
-
Extended Moves: If a signal arrow appears after the price has already moved a huge distance away from the line, do not chase it. Wait for a pullback to the line.
-
High-Impact News: 30 minutes before and after NFP (Non-Farm Payroll), CPI, or FOMC meetings, the volatility can trigger "fake" signals. Stop new trading during these windows.
4. Best Pairs & Trading Hours
-
Recommended Pairs: XAUUSD (Gold), EURUSD, GBPUSD, and GER40 (DAX).
-
Trading Hours: The London and New York Overlap (12:00 PM to 5:00 PM GMT) provides the volume necessary for the trend to sustain itself. Avoid the Asian session as it often produces "choppy" sideways movement.
5. Money Management & Risk
-
Initial Balance: Recommended $500 minimum.
-
Risk Model: Do NOT use fixed lot sizes. Use a Percentage-Based Risk (1% to 2% per trade).
-
Why? Gold volatility changes daily. By risking 2% of your equity, you automatically trade smaller lots during high volatility and larger lots during low volatility, protecting your account from "black swan" events.
Download

